发布时间:2019/12/18 点击数:888 今年5月,FDA批准了诺华公司一次性治疗脊髓性肌萎缩的基因治疗药物Zolgensma 上市,价格达到令人咋舌的210万美元,成为史上最贵的药物。目前各大药企正如火如荼地投入到基因&细胞治疗药物研制中去。然而,如何将目的基因或者细胞安全有效地传送到人体内成为细胞和基因治疗第一个要突破的重要瓶颈。
目前的基因&细胞治疗主要采用病毒和非病毒两种载体形式。根据统计,病毒载体约占进行临床实验的项目65%;而慢病毒因无严重的临床事故出现成为目前最安全的病毒载体选择之一。慢病毒载体具有能感染非分裂期细胞、容纳外源性目的基因片段大、稳定性强、免疫原性小等特点。大量研究表明,相对其他病毒载体,慢病毒感染效率高,更容易感染一些较难感染的组织和细胞,其效率一般可以达到30%-95%以上。
病毒颗的限制性摄取粒往往会降低基因或shRNA表达的成功率,并要求应用更高的病毒滴度。然而,增加病毒数量以促进表达可能会导致许多细胞类型的毒性副作用,并带来不必要的昂贵成本。

LentiBoost转导慢病毒的作用模式图
德国Sirion Biotech公司为此研发了独特的LentiBOOST慢病毒转导增强剂,专为提高病毒基因转导难转的哺乳动物和啮齿动物细胞的效率。LentiBOOST是一种高效、无细胞毒性的慢病毒转导增强剂,用于临床前和临床应用。作为一种普遍作用的(受体非依赖型)佐剂,可应用于多种临床相关细胞类型,CD34+造血干细胞(HSCs)、原代T细胞和NK细胞等,对难转导的小鼠T细胞亦有效。LentiBOOST已成为改进体外(ex vivo)基因治疗和CAR-T细胞治疗的临床转导方案的理想选择。
LentiBOOST慢病毒转导增强剂的作用原理主要是通过降低膜粘稠度、提高脂质交换和跨膜转运,不依赖特异的细胞表面受体,在转导过程中避免细胞模去极化和损伤,不影响细胞活力。
提高慢病毒转导效率

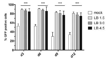
CD34+HSC
人源CD34+ PBSC细胞在不同浓度LentiBOOST辅助、慢病毒MOI 10条件下,转导后的GFP阳性率,3天之后可达90%
(使用浓度单位:mg/ml)

Murine T cell
鼠源CD8+ T细胞在不同浓度的LentiBOOST辅助下(Protamine sulfate浓度4mg/ml)的慢病毒转导阳性率。
(使用浓度单位:mg/ml)

Human T cell
T细胞在不同浓度的LentiBOOST下的慢病毒转导阳性率(Customer data, 2019)。
无细胞毒性,不影响细胞活力、增殖和定向分化

Non toxic
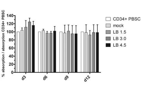
用LentiBOOST转导HSC细胞,实验表明经处理后,与空白对照保持相同的细胞活力。
(使用浓度单位:mg/ml)

No effect on phenotype
LentiBOOST不影响HCS干性,可分化为多种造血细胞系,在T细胞转导实验中,转导过程中LentiBOOST的使用,并不影响T细胞分化。
(使用浓度单位:mg/ml)

Controlled VCN
在提高转导效率的同时,可将单个细胞病毒拷贝数(VCN)控制在5个以内,符合基因改造细胞治疗的安全性原则。
(使用浓度单位:mg/ml)
SIRION Biotech的首席执行官Christian Thirion博士说,SIRION的最大贡献是优化病毒载体基因的转导,从而在治疗患者中获得更高的转导效率和长期的基因表达。此外,通过降低生产细胞产品所需的慢病毒载体的数量,使用诸如LentiBOOST之类的转导增强剂有助于降低生产成本。
SIRION Biotech为研究机构和医院开发了一种定制的许可模式,并为临床试验提供良好的GMP材料供应条件。LentiBOOST目前在美国和欧洲的多个临床试验中使用,直到第3阶段,并且已经证明是安全和临床有效的。
提供两种产品等级
LentiBOOST(Pharma grade)—— 仅用于药物级的临床前研究和工艺开发,以及评估研究
LentiBOOST(GMP grade)—— 用于临床阶段方案。目前美国和欧洲多个Phase III和Phase I/II临床试验正在进行。提供临床/商业用途和开发的许可选项。
两个版本均可提供用于研究、开发和商业用途的许可。
LentiBOOST在药物研发和临床中发挥优势
• 增强慢病毒转导效率,高达90%——提高治疗蛋白表达量,有利于取得临床试验成功。
• 对CD34+和T细胞增殖无不良影响,在T细胞中观测到一定的促增殖效果——降低成本,优化和稳定的转基因细胞生产。
• 减少MOI低至2倍,从而降低COGS(Cost of goods sold)——减少LV的用量和物料成本。
• 控制单个细胞中的病毒载体拷贝数(VCN,Virus Copy Number)——治疗性蛋白表达量高且持久,但并未过度增加单个细胞VCN,符合FDA/EMA对ATMPs(Advanced Therapy Medicinal Products)产品的安全标准。
• 研发和临床无缝衔接——无需改变现有转导流程,很好兼容已经开发工艺,直接应用于临床项目。
• 提供GMP级产品资料,适用于临床前研究,工艺开发和临床项目——包括DMF归档、完整的CoA文件以及产品放行检测和验证资料。
• 8种应用LentiBoost研发的药物已在美国和欧洲进入临床试验(Phase III和Phase I/II)阶段——临床发现LentiBoost几乎无细胞毒性,也加速了IND文件归档。
这些独特的特性使其成为改进体外基因治疗和CAR-T细胞治疗的临床转导方案的一个有希望的候选者。
关于SIRION Biotech GmbH
SIRION Biotech成立于2005年,旨在领导下一代病毒载体技术,用于基因和细胞治疗以及疫苗开发。现在,SIRION提供了一个基于慢病毒、腺病毒和类腺病毒的全面的病毒载体技术平台,加速了基因治疗研究和药物开发。SIRION正成为这一增长领域的合作伙伴。从早期临床阶段I/II到晚期临床阶段III的临床试验中使用了LentBoost并证明了在改善治疗载体的转导方面的临床成功。





