发布时间:2025/03/20 点击数:1341 FGF2-G3是FGF-2的高度生物活性和热稳定(耐热)的改良型,用于支持同质均匀和可重复的干细胞培养, 同时避免了频繁更换培养基的需要。野生型FGF-2天然不稳定,易于蛋白酶降解和聚集,导致在培养基中的半衰期短(<10小时),需要频繁更换培养基,以及培养过程中的变异。FGF2-G3经过了九个氨基酸替换的改良,以增强稳定性而不影响生物活性。这将蛋白质的功能半衰期从野生型的<10小时提高到培养基中的>7天(FGF2-G3)。使用热稳定的FGF2-G3提供了一种改良的替代方案,节省了研究人员宝贵的时间和金钱,减少了培养基更换的次数。

Innovation & engineering
FGF2-G3,或称为FGF2-STAB,是由Masaryk大学的Dvorak及其同事利用计算辅助蛋白质工程开发 的,以确定稳定FGF-2的更佳九个氨基酸替换。Qkine从Enantis/Masaryk大学获得了FGF2-G3技术许可,并将该技术与我们的蛋白质制造专业知识结合起来,制造了一种无动物成分、无载体蛋白、无His标签的生长因子,从而实现了从研究到临床或规模化应用的转化。

Qkine FGF2-G3 产品特色
享受休息日无忧的热稳定FGF2-G3干细胞培养。Qkine的FGF2-G3可以在不同的应用中替代野生型FGF-2。它可以作为常见培养基配方(包括mTeSR、StemPRO和E8)的成分之一,用于调节关键细胞过程并维持多能性。

FGF2-G3 的功能与作用
与德国DZNE合作,研究了FGF2-G3在iPSC培养中的效果。使用FGF2-G3的iPSC的稳定性在培养基中进行了72小时的检测,显示出增强的集落健康状态,维持持续增殖状态,无需每日更换培养基(图1)。基于多能性标记物Oct4的表达水平,FGF2-G3也显示出维持多能性的能力,并减少了培养基更换的次数(图 2)。最终,使用FGF2-G3和休息日无忧的细胞培养方法展示了胚胎体的形成(图3)。

1.在不更换培养基的情况下,将iPSCs在mTeSR1培养基中与Qkine FGF2-G3共培养3天。
2.在不更换培养基的情况下,将Oct4+ iPSCs在mTeSR1培养基中与Qkine FGF2-G3共培养5天。
3.在不更换培养基的情况下,将胚胎体在mTeSR1培养基中与Qkine FGF2-G3共培养3天。
Image Credit: Joshua Thomas & Felix Buchner, Deutsches Zentrum für Neurodegenerative Erkrankungen (DZNE), Germany
每个步骤都进行严格的质量控制
每个Qkine蛋白质均在我们获得ISO9001:2015认证的设施中生产,并在整个过程中采取严格的质量控制 措施。我们对每个批次使用各种分析技术,以确保出色的质量和批次间的一致性。生物活性测定和SDS- PAGE凝胶电泳只是我们用来保证高度生物活性和纯度的一些技术之一。如果您想查看特定批次的完整质量控制数据,请联系我们获取。

FGF2-G3在还原和非还原条件下的SDS-PAGE
通过15%(w/v)SDS-PAGE在还原(+β-巯基乙醇,R)和非还原( NR)条件下分离纯化的重组蛋白质(3 µg),并用考马斯亮蓝R250染色。在非还原(NR)条件下,重组FGF2-G3迁移为一个主要的17kDa带。在还原(R)条件下,只有17kDa的带可见。未检测到污染蛋白带,突显了蛋白质的纯 度。数据来自Qk053批次#104340。
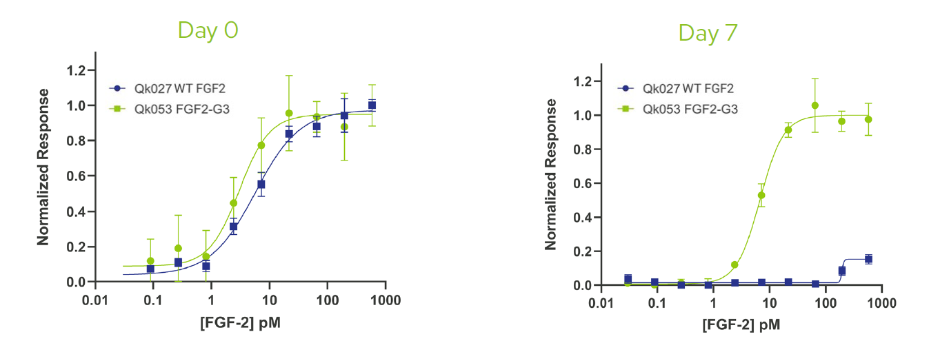
热稳定的FGF2-G3在37°C的条件培养基中保持了野生型的生物活性超过7天,这使得干细胞培养具有可重复 性和均一性,并且无需休息日更换培养基。Qkine的每个蛋白质都经过生物活性测试,使用校准的荧光素酶报告基因分析来定义感兴趣蛋白质的完整剂量-反应曲线,并确定其EC50值。

FGF2-G3在培养7天后仍然保持生物活性。野生型FGF-2(Qk027)和FGF2-G3(Qk053)在条件培养基中稀释后, 在37°C下孵育。每天取样,进行序列稀释,然后在转染的HEK293T细胞中进行三重测定。测量了荧光素酶活性, 并进行了对照标准化。

进一步阅读
Dvorak P, Bednar D, Vanacek P, et al. (2018) Computer-assisted engineering of hyperstable fibroblast growth factor 2. Biotechnol Bioeng. 115(4):850-862.
Kuo HH, Gao X, DeKeyser JM, et al. (2019) Negligible-Cost and Weekend-Free Chemically Defined Human iPSC Culture. Stem Cell Reports. 14(2):256-270.
Benington L, Rajan G, Locher C, Lim LY. (2020) Fibroblast Growth Factor 2-A Review of Stabilisation Approaches for Clinical Applications. Pharmaceutics. 12(6):508.
推荐阅读
产品上新|英国QKine高纯度、高活性、无动物成分的细胞因子





