发布时间:2025/12/19 点击数:144 有人会好奇:药物进入体内后,是如何被肝脏“处理”的?作为人体代谢的“核心工厂”,肝脏的代谢过程决定了药物的疗效、安全性和有效期。而在药物研发的早期阶段,科学家们需要一种准确的“体外肝脏模型”,来预测药物在人体内的代谢行为——这正是肝细胞体外模型研究的核心价值所在。慢代谢药物肝代谢研究是药物研发的关键难点,因其代谢慢、体内滞留久,易产生影响疗效与安全性的次级代谢产物,而现有体外模型存在无法模拟体内长期代谢环境、代谢酶功能不稳定的问题,导致研究数据偏差、准确性受限。
悬浮人肝细胞(SHH)是常用的体外肝代谢研究工具,但存在孵育时间短(≤6 小时)的局限,难以生成慢代谢化合物的代谢物。为此,HepatoPac、肝细胞球体(Spheroids)和三培养系统(TCS)等长期原代人肝细胞培养模型应运而生。本研究旨在对比这三种长期培养模型与 SHH 在生成体内观察到的I相和II相代谢物方面的性能,选取了在SHH中代谢缺失或代谢水平低、但在人体内具有多种循环代谢物的BI 425809、BI-A和TAK-041作为研究对象。
(一)四种模型在关键培养参数设置,具体如下:

表1:三种长期原代人肝细胞培养模型
(二)检测指标通过质谱法(MS)检测各模型中药物相关物质总量(TDRM),分析原药消耗比例及代谢物的种类、含量,并与人体血浆中的代谢情况进行对比。
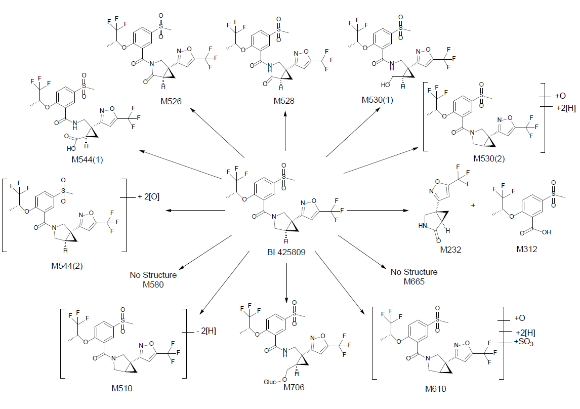
(一)代谢物生成能力1. BI 425809:在三种模型中均识别出 11 种体内循环代谢物中的 8 种。Spheroids 和TCS可检测到M526酰胺键水解生成的M232和M312,而SHH和HepatoPac无法检测;HepatoPac生成 M530 (1)(24%)、M544 (1)(19%)等代谢物,TCS中M232和M312占比达 9.3%。
图1:BI 425809预测代谢途径
-- :未检出;Gluc:葡萄糖醛酸;TDRM:药物相关物质总量;MS:质谱
表2:人血浆和肝细胞中鉴定出的 BI 425809 及其代谢产物
2. BI-A:人体血浆中存在 2 种氧化代谢物和 1 种氧化-葡萄糖醛酸结合代谢物。SHH未检测到两步氧化-葡萄糖醛酸结合代谢物,但三种长期模型均能检测到,其中TCS中该代谢物(M545 (1))占比达10%。
图2:BI-A的预测代谢途径
表3:人血浆和肝细胞中鉴定出的BI-A及其代谢产物
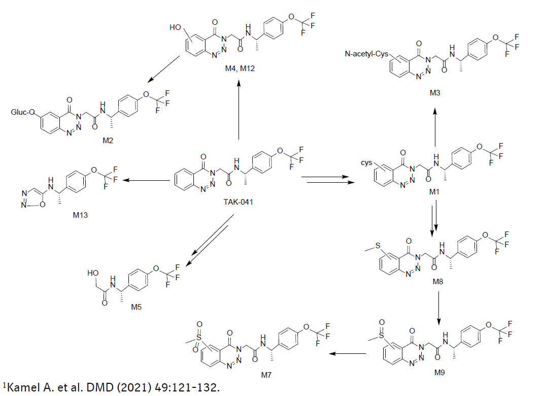
3. TAK-041:在人体内发生多步连续代谢,SHH中无代谢物生成,而三种长期模型均能产生半胱氨酸S-结合物、谷胱甘肽加合物衍生硫醇代谢物等体内连续代谢物,如TCS中M1(+半胱氨酸)占比 17%、M2(+葡萄糖醛酸+氧化)占比12%。
图3:TAK-041的预测代谢途径1
--:未检出;Gluc:葡萄糖醛酸;TDRM:药物相关物质总量;MS:质谱;痕量水平 < 0.3% TDRM
表4:人血浆和肝细胞中鉴定出的TAK-041及其代谢产物
(二)原药消耗培养 7 天后,三种长期原代人肝细胞模型对 BI 425809、BI-A、TAK-041 三种原药消耗表现出明显的模型特异性和药物依赖性:
对BI 425809的代谢:TCS代谢能力高于 Spheroids和 HepatoPac;
对BI-A的代谢:TCS 和 Spheroids 代谢相当,HepatoPac代谢弱;
对TAK-041的代谢:Spheroids 优于TCS,HepatoPac几乎无代谢。
整体来看,TCS 和 Spheroids 对三种药物的代谢活性更稳定且普遍较高,HepatoPac的代谢能力则因药物种类不同存在差异,在药物体外代谢稳定性研究中需根据目标药物特性选择适配的长期肝细胞培养模型。

图4:孵育 7 天后,HepatoPac、Spheroids和 TCS 中原药消耗百分比
1、三种长期肝细胞模型比较:
均比 SHH 生成更多代谢产物。
可预测体内缓慢代谢的化合物的代谢情况。
适用于预测体内代谢产物的生成。
2、单一供体肝细胞系统(Spheroids和 TCS)能够生成与HepatoPac中一致的体内相关代谢产物。
3、需综合考量实用性、潜在局限性与成本来选择合适的代谢模型(见表 5)。各模型存在独特局限:
SHH:培养时间短、外排转运体内化;
HepatoPac:醛氧化酶活性降低、含小鼠成纤维细胞背景、肝细胞数量少;
Spheroids:接种后CYP450活性下降、non-CYP450 活性了解有限;
TCS:non-CYP450活性了解有限、细胞类型和培养基成分不明确。
4、对于常规药物代谢研究,SHH 可能已足够;而长期肝细胞培养模型或许更适用于慢代谢药物及更多类型的研究。
表5:体外模型在熟悉度、成本、实用性及注意事项方面的考察对比
开展药物代谢研究,需选择细胞活力与代谢酶功能稳定的原代肝细胞,其决定模型模拟效果。LifeNet Health原代肝细胞来源合规,功能稳定,能在长期培养中维持肝功能,适配 HepatoPac、TCS等多种代谢模型。

Kamel, A., Bowl in, S., Hosea, N., Ar kilo, D., & Laurenza, A. (2021). In Vitro Metabolism of Slowly Cleared G Protein–Coupled Receptor 139 Agonist TAK - 041 Using Rat, Dog, Monkey, and Human Hepatocyte Models (HepatoPac): Correlation with In Vivo Metabolism. Drug Metabolism and Disposition, 49(2), 121 - 132.
https://doi.org/10.1124/dmd.120.000246https://lnhlifesciences.org/node/225
上海曼博生物医药科技有限公司是LifeNet Health的正式授权代理商,若需了解实验方案细节,可联系曼博生物技术团队,获取专属技术支持。






