发布时间:2025/04/08 点击数:1463 自然杀伤细胞(NK)是一种先天免疫淋巴样细胞,由于它们能够识别和裂解病毒感染和恶性细胞而无需抗原致敏并启动适应性免疫反应,因此在机体早期防御病毒和癌症方面发挥着关键作用。NK 细胞通过分泌细胞因子(如干扰素 (IFN)-γ)以及与其他免疫细胞的相互作用在启动和协调免疫反应中发挥核心作用。NK细胞还可以通过膜结合受体传递的激活和抑制信号的平衡以及激活的抗原呈递细胞 (APC) 分泌的细胞因子在体内激活。
白细胞介素 (IL)-18 和 IL-12 都是APC响应刺激信号而分泌的细胞因子。IL-18 和 IL-12 在增强 NK 细胞活性、IFN-γ 产生和调节免疫反应方面都发挥着关键作用。并已有研究证明IL-18 和 IL-12 对 NK 细胞的作用紧密相连,IL-18 是启动 NK 细胞以响应 IL-12 产生 IFN-γ 所必需的。
IL-18 和 IL-12 (IL-18+IL-12) 联合刺激对 NK 细胞活化具有强大的协同作用,与单独使用 IL-18 或 IL-12 的刺激相比,使用 IL-18+ IL-12 的刺激可以诱导更大的 NK 细胞脱粒和 IFN-γ 产生。尽管有很多研究集中在由 IL-18+IL-12 刺激引起的 NK 细胞 IFN-γ 的产生上,但很少有研究检查产生的其他细胞因子。研究表明,IL-18、IL-15 和 IL-12 的不同组合可差异诱导NK细胞产生 IL-10、巨噬细胞炎症蛋白 (MIP)-1α、MIP-1β、肿瘤坏死因子 (TNF)-α 和粒细胞巨噬细胞集落刺激因子。鉴定 NK 细胞响应 IL-18+IL-12 刺激而高度产生的其他细胞因子将有助于进一步阐明对感染的关键免疫反应。
IL-18+IL-12 的强效刺激作用也被证明可以逆转肿瘤微环境中的 NK 细胞无反应性。由于 NK 细胞具有识别和消除恶性细胞的天然能力,已出现使用 NK 细胞作为治疗癌症的免疫治疗剂。由于 IL-18+IL-12 可以有效增强NK 细胞活性,采用 IL-18+IL-12 的不同免疫治疗策略在癌症治疗中引起了广泛关注。例如,在肝癌模型中,IL-18+IL-12 给药被证明可以减少肿瘤负荷。此外,通过 IL-18+IL-15+IL-12 的组合预激活 NK 细胞已被开发为过继转移后增强 NK 细胞存活和效应因子功能的方法,在小鼠肿瘤模型中,该方法被证明可以减少肿瘤负荷并增加存活。IL-18+IL-15+IL-12 预激活的 NK 细胞也被证明在过继转移至髓性白血病患者后可诱导临床反应。
鉴于使用 IL-18+IL-12 治疗的明显潜力,进一步的研究识别和表征在 IL-18+IL-12 刺激后由 NK 细胞产生的高度上调的其他细胞因子,并评估这些细胞因子可能的影响是非常必要的。
IL-8,也称为 CXCL8,是一种趋化因子,最初被表征为中性粒细胞趋化因子和激活因子。自发现以来,它已被证明还可以诱导其他免疫细胞的迁移,包括 T 细胞、NK 细胞和单核细胞。IL-8 在宿主对感染的反应中的发挥重要作用,IL-8 受体 CXCR2 的缺失或抑制会导致各种感染中病原体负担增加。除了其对宿主防御的功能外, IL-8 还具有多种促肿瘤功能,如组织重塑和血管生成,并与肿瘤发展有关。虽然静息状态下的人外周血NK 细胞不会自发产生 IL-8,但IL-8的产生是蜕膜NK细胞的特征。与NK细胞的经典抗病毒和抗肿瘤作用相反,蜕膜NK细胞具有免疫调节作用,因为它们在组织重塑和血管生成中发挥关键作用。
相关文献揭示了IL-18+IL-12 刺激在多种情况下有效诱导原代人 NK 细胞产生 IL-8,并证明了由 NK 细胞响应 IL-18+IL-12刺激分泌的 TNF-α 作为中间体进一步促进 NK 细胞产生 IL-8,而产生的 IL-8在最大程度产生 IFN-γ 和 TNF-α 中起着关键的作用。

图1
图1 显示Elisa法测定不同处理下IL-8蛋白表达情况。通过对离体扩增的NK细胞进行微阵列分析,发现IL-18+IL-12联合刺激后,IL-8和IFN-γ基因表达上调,与单独使用IL-18,IL-12或培养基相比,使用IL18+IL-12联合刺激的NK细胞产生更高水平的IL-8蛋白。

图2
图2是通过流式细胞术分析产生IL-8的细胞类型和细胞数,发现NK细胞(CD56+ CD3- )的纯度占95%以上。
图1和图2的两种情况在原代新分离的NK细胞和PBMC的NK细胞中也观察到一致的结果。均表明IL18+IL-12对于NK细胞产生IL-8细胞因子具有协同作用。

图3
由于IFN-γ和TNF-α在IL-18+IL-12刺激后在NK细胞中的表达均呈现上调趋势,研究者评估了他们在诱导NK细胞产生IL-8中的作用。图3中显示了IL-8、INF-γ和TNF-α产生的时间模式,表明IL-8和INF-γ的产生时间类似,而TNF-α在IL-8之前就已产生。

图4
图4显示了加入不同类型抗体后NK细胞中IL-8的表达量,研究者通过添加Anti-IFN-γ,Anti-TNF-α或同类型的对照抗体培养NK细胞,并与仅IL-18+IL-2刺激的NK细胞比较,发现IFN-γ被抗体中和后对IL-8的产生无任何影响,而TNF-α被中和后显著抑制了IL-8的产生。
图3和图4数据表明TNF-α通过自分泌的方式对IL-18+IL-12诱导NK细胞产生IL-8的协同作用发挥中间作用。
同时,研究者还发现在IL-18+IL-12联合刺激期间添加IL-8的中和抗体,显著降低了IFN-γ和TNF-α的产生(图5),表明了NK细胞产生的IL-8以自分泌或旁分泌的方式进一步加强了IL-18+IL-12刺激的NK细胞的细胞因子反应。

图5


除了IL-18和IL-12联合对于NK细胞体外培养的协同作用,已知的NK细胞激活剂和存活因子IL-15和IL-2也已被证明与IL-18和IL-12具有协同作用, 即IL-2和IL-15均可以增加IL-18+IL-12刺激NK细胞产生IL-8的协同作用。

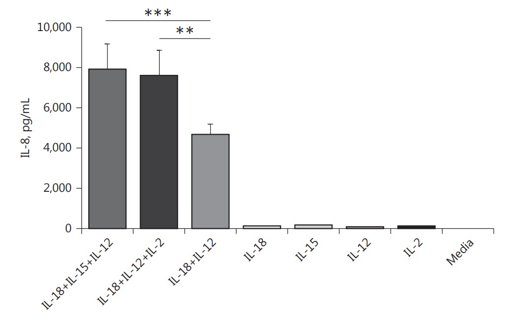
图6
图6显示了研究者发现在IL-18+IL-12联合刺激中添加IL-2或IL-15显著增强了IL-8的产生,表明其他细胞因子可以和IL-18+IL-12进一步协同作用促进IL-8的产生。

美国Akron提供具备安全性,高效性,一致性的高品质cGMP级细胞因子。Akron成立于2006年,一家美国创新的生物技术公司,生产设施经过ISO 13485认证,按照cGMP指南及国际标准运营,并在FDA备案药物主文件,为细胞基因治疗行业提供规模化、合规性产品和法规监管支持,以推动从开发到商业化的新疗法发展。
Akron的重组细胞因子均在制药级设备中纯化,不使用组氨酸标签和镍柱等设施,全流程无菌过滤,灌装和冻干,并根据USP/EP标准对终产品进行内毒素和无菌检测,另外产品中不添加任何载体蛋白,以降低交叉反应,确保产品安全性。
Akron细胞因子产品







